
gill1109 wrote:Excellent! It is so good to disentangle Joy Christian's basic idea from Geometric Algebra, beautiful and important though that may be. I think I see the same issues in this computation as I had earlier. I will let the authors know privately, via Jay.
FrediFizzx wrote:
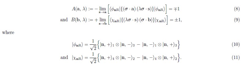
And here are the manifestly local measurement functions for A and B.

Jarek wrote:If you want to convince the physics society that HV local model can be sufficient (I personally agree but using 4D local like in action optimizing), for exercise start with showing how (like QM) it can violate the most obvious inequality:
Pr(A=B) + Pr(A=C) + Pr(B=C) >= 1
that flipping 3 coins, at least two are equal.
Its obviousness and simplicity does not allow for some magical interpretation, handwaving ...
Jarek wrote:Could you elaborate?
This is much less sophisticated inequality than e.g. CHSH, directly obvious.
You need a local HV model which gets below 1, just try to understand its difficulty.
Jarek wrote:We don't have products in the inequality I am asking for, just sums: "probability of alternative of disjoint events is sum of their probabilities" - how would you apply your argument here?
ps. Pictorial proofs in Maccone's paper: https://arxiv.org/pdf/1212.5214.pdf
Heinera wrote:It is anyway good to conclude that no knowledge of Geometric Algebra is needed to follow this paper, since that has always been an obstacle for the dissemination and evaluation of your theory.
FrediFizzx wrote:Heinera wrote:It is anyway good to conclude that no knowledge of Geometric Algebra is needed to follow this paper, since that has always been an obstacle for the dissemination and evaluation of your theory.
I don't know why. Geometric Algebra is pretty easy to learn. You can learn the basics in less than a day and it is a really powerful mathematical tool. Anyways, looking forward to your comments about the paper.
Joy Christian wrote:The physical question -- and the only question that matters physically -- is whether or not a local-realistic model can reproduce the strong correlation -a.b.
***
FrediFizzx wrote:And here are the manifestly local measurement functions for A and B.
Heinera wrote:FrediFizzx wrote:And here are the manifestly local measurement functions for A and B.
For given values of a and, the RHS of (8) and (9) looks completely deterministic to me. Where is the extra source of randomness that can produce both +1 and -1 for the same values of a and
?
Heinera wrote:For given values of a and, the RHS of (8) and (9) looks completely deterministic to me. Where is the extra source of randomness that can produce both +1 and -1 for the same values of a and
?
Return to Sci.Physics.Foundations
Users browsing this forum: No registered users and 110 guests
